Varianz von zwei Zufallsvariablen berechnen

Varianzanalyse, Diskriminanzanalyse, Kontingenzanalyse, Faktorenanalyse, Clusteranalyse, MDS, ....

Moderator: EDi

Antworten
PAXON_1999
Beiträge: 1
Registriert: Do Jul 01, 2021 7:44 pm

Varianz von zwei Zufallsvariablen berechnen

Beitrag von PAXON_1999 »

Liebe R-Community,

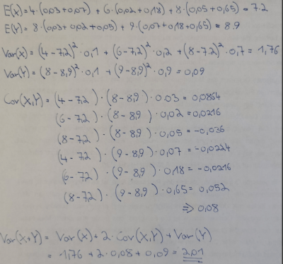
Ich habe das folgende Beispiel (Anhang) bereits mit der Hand gerechnet, jedoch ist das Beispiel sehr zeitaufwändig. Ich wollte deshalb fragen ob man diese Aufgabe auch mit R lösen kann. Vielen Dank im voraus!
Dateianhänge
Angabe.PNG
Rechenweg.PNG
jogo
Beiträge: 2094
Registriert: Fr Okt 07, 2016 8:25 am

Re: Varianz von zwei Zufallsvariablen berechnen

Beitrag von jogo »

Hallo PAXON,

willkommen im Forum!
Klar geht das:

Code: Alles auswählen

X <- c(4, 6, 8)
Y <- 8:9

Pxy <- matrix(c(.03, .02, .05,   .07, .18, .65), 3)

Ex <- weighted.mean(X, rowSums(Pxy)) # oder auch sum(X*rowSums(Pxy))
Ey <- weighted.mean(Y, colSums(Pxy))

varX <- sum((X-Ex)^2*rowSums(Pxy))
varY <- sum((Y-Ey)^2*colSums(Pxy))

Dat <- expand.grid(x=X, y=Y)

covXY <- with(Dat, sum((x-Ex)*(y-Ey)*Pxy))
Gruß, Jörg
Antworten