ggplot: Linien verbinden funktioniert nicht richtig
ggplot: Linien verbinden funktioniert nicht richtig
Hallo liebe R-Community,
ich stehe vor einem Problem:
ggplot(NH31, aes(x=x, y=y))+geom_line()+
geom_point()+theme_test()
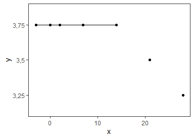
Durch geom_line sollen eigentlich alle Punkte verbunden werde. Nur die Linie die Parallel zur x-Achse verläuft, verbindet das Programm.
Wo könnte der Fehler sein?
Vielen Dank!
PS:
x= Tage
y= Noten
H=Treatment
Daten:
x y H
-3 3,75 1
0 3,75 1
2 3,75 1
7 3,75 1
14 3,75 1
21 3,5 1
28 3,25 1
-3 3,75 2
0 3,75 2
2 3,75 2
7 3,75 2
14 3,25 2
21 2,75 2
28 2,75 2
-3 3,25 4
0 2,75 4
2 2,75 4
7 2,5 4
14 2 4
21 1,5 4
28 1,25 4
ich stehe vor einem Problem:
ggplot(NH31, aes(x=x, y=y))+geom_line()+
geom_point()+theme_test()
Durch geom_line sollen eigentlich alle Punkte verbunden werde. Nur die Linie die Parallel zur x-Achse verläuft, verbindet das Programm.
Wo könnte der Fehler sein?
Vielen Dank!
PS:
x= Tage
y= Noten
H=Treatment
Daten:
x y H
-3 3,75 1
0 3,75 1
2 3,75 1
7 3,75 1
14 3,75 1
21 3,5 1
28 3,25 1
-3 3,75 2
0 3,75 2
2 3,75 2
7 3,75 2
14 3,25 2
21 2,75 2
28 2,75 2
-3 3,25 4
0 2,75 4
2 2,75 4
7 2,5 4
14 2 4
21 1,5 4
28 1,25 4
- Dateianhänge
-
- Befehl mit allen Daten und auch Gruppen, innherhalb der Gruppen sollen Linien die Punkte zusammen führen.
- Nr 2.jpeg (20.69 KiB) 6516 mal betrachtet
-
- Es funktioniert auch nicht, wenn man die anderen Gruppen erstaml weg lässt.
- Nr 1.jpeg (13.03 KiB) 6516 mal betrachtet
Zuletzt geändert von Fanny am Fr Mär 05, 2021 4:51 pm, insgesamt 1-mal geändert.
-
schubbiaschwilli
- Beiträge: 268
- Registriert: Di Jun 27, 2017 12:09 pm
Re: ggplot: Linien verbinden funktioniert nicht richtig
Gude!
Ohne die Daten wird dir da niemand helfen können.
Dank&Gruß
Schubbiaschwilli
Ohne die Daten wird dir da niemand helfen können.
Dank&Gruß
Schubbiaschwilli
Re: ggplot: Linien verbinden funktioniert nicht richtig
Guder,
hast recht. Ist geändert wurden!
hast recht. Ist geändert wurden!
-
schubbiaschwilli
- Beiträge: 268
- Registriert: Di Jun 27, 2017 12:09 pm
Re: ggplot: Linien verbinden funktioniert nicht richtig
Guder!,
Das schaut ja schon einmal anders aus bei dir.
Was mache ich falsch?
Da es sich um drei verschiedene Gruppen handelt, sollte es am besten drei Linien geben, die unabhängig die Punkte verbinden.
I need help, Sir!
Das schaut ja schon einmal anders aus bei dir.
Was mache ich falsch?
Da es sich um drei verschiedene Gruppen handelt, sollte es am besten drei Linien geben, die unabhängig die Punkte verbinden.
I need help, Sir!
Re: ggplot: Linien verbinden funktioniert nicht richtig
Das sollte man ggplot aber auch mitteilen...Da es sich um drei verschiedene Gruppen handelt, sollte es am besten drei Linien geben, die unabhängig die Punkte verbinden.
Code: Alles auswählen
Eingabe <- file.choose()
Daten <- read.csv(Eingabe, sep=" ", dec=",", header=TRUE)
Daten$H <- as.factor(Daten$H)
library(ggplot2)
ggplot(Daten, aes(x,y,colour=H)) +
theme_bw() +
geom_line() +
geom_point()Re: ggplot: Linien verbinden funktioniert nicht richtig
Leider klappt es immer noch nicht, irgendetwas muss mit geom_line() nicht richtig funktionieren.
Habe über clipboard eingelesen, vllt ist dort etwas nicht richtig?
Habe über clipboard eingelesen, vllt ist dort etwas nicht richtig?
- Dateianhänge
-
- Warum.jpeg (31.75 KiB) 6471 mal betrachtet
Re: ggplot: Linien verbinden funktioniert nicht richtig
Warum tust Du sowas?Habe über clipboard eingelesen, vllt ist dort etwas nicht richtig?
Offensichtlich ist H nicht in einen Faktor umgewandelt worden...
Zuletzt geändert von Athomas am Sa Mär 06, 2021 1:43 pm, insgesamt 1-mal geändert.
-
schubbiaschwilli
- Beiträge: 268
- Registriert: Di Jun 27, 2017 12:09 pm
Re: ggplot: Linien verbinden funktioniert nicht richtig
Mit dem Code von oben:


Re: ggplot: Linien verbinden funktioniert nicht richtig
Jetzt habe ich es !
Vielen dank
Vielen dank
