Hallo, ich schaffe es nicht die Fehlerbalken auf die richtigen Balken aufzusetzen.
Mit stat identity funktioniert das zwar aber dann sind die Balken in der falschen Reihenfolge und ich bekomme sie nicht richtig hin. Mein Ziel ist es einfach ein gestapeltes Balkendiagramm in der Reihenfolge Spross->Wurzel->Knolle mit dem Standardfehler an der richtigen Stelle.
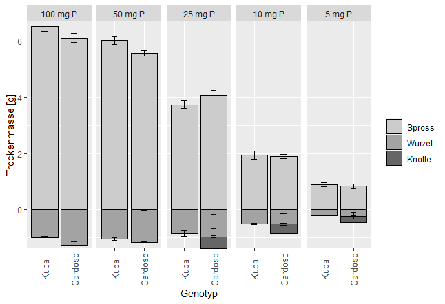
Im Anhang ist das was ich bisher habe.
Das sind meine Daten:
Dünger Genotyp Spross Wurzel Knolle
A 1 6,2732 -1,0419 0
A 2 5,5367 -0,9234 0
A 1 6,0068 -0,9633 0
A 2 6,0794 -1,131 0
A 1 6,6632 -0,8455 0
A 2 6,4065 -1,4752 0
A 1 6,6252 -1,0595 0
A 2 6,16 -1,2888 0
A 2 6,4098 -1,4383 0
A 1 7,062 -1,0487 0
B 1 5,8388 -1,0849 0
B 2 5,4695 -1,1492 -0,0888
B 2 5,3268 -1,1257 -0,0164
B 1 5,895 -0,9625 0
B 1 5,8026 -0,907 0
B 2 5,5183 -1,2344 0
B 2 5,6802 -1,1993 0
B 1 6,0634 -1,0959 0
B 2 5,8736 -1,138 0
B 1 6,5233 -1,1697 0
C 1 3,4511 -0,7445 0
C 2 3,6229 -0,8601 -1,0378
C 2 4,081 -0,9989 0
C 1 3,7943 -0,9223 0
C 1 4,0456 -1,0364 0
C 2 3,8019 -1,0043 -1,0846
C 2 4,3979 -1,004 0
C 1 4,0168 -0,974 -0,0541
C 1 3,402 -0,5162 0
C 2 4,47638 -0,9235 0
D 1 1,5814 -0,5864 0
D 2 1,7061 -0,4136 -0,9137
D 2 1,891 -0,6159 0
D 1 1,6873 -0,5417 0
D 1 1,9481 -0,4528 0
D 2 2,0497 -0,5557 0
D 1 2,1126 -0,4713 0
D 2 1,8053 -0,4165 -0,8184
D 2 2,0406 -0,5386 0
D 1 2,3826 -0,4794 0
E 1 0,6071 -0,1354 0
E 2 0,634 -0,1483 -0,6274
E 1 1,0394 -0,2657 0
E 2 0,6629 -0,1919 -0,4145
E 1 0,9149 -0,3105 0
E 2 1,1253 -0,2884 0
E 2 0,9037 -0,2543 0
E 1 0,8535 -0,1945 0
E 1 1,0093 -0,1703 0
E 2 0,8612 -0,2819 0
Das ist mein bisheriges Skript:
Trockenmasse.df<-read.table("clipboard",header=T, dec=",")
View(Trockenmasse.df)
summary(Trockenmasse.df)
Trockenmasse.df$Genotyp<-as.factor(Trockenmasse.df$Genotyp)
summary(Trockenmasse.df)
data_long <- gather(Trockenmasse.df, condition, measurement, Spross:Knolle, factor_key=TRUE)
data_long
item_labels <- c("Kuba",
"Cardoso")
variable_names <- list(
"A" = "100 mg P" ,
"B" = "50 mg P",
"C" = "25 mg P",
"D" = "10 mg P",
"E" = "5 mg P"
)
variable_labeller <- function(variable,value){
return(variable_names[value])
}
ggplot(data_long,aes(x=Genotyp,y=measurement,
fill= condition))+
facet_wrap(~Dünger,nrow=1,labeller=variable_labeller)+
stat_summary(fun = mean,geom="bar",
color="black", position = position_stack(vjust = 1, reverse = TRUE))+
xlab("Genotyp") +
stat_summary(fun.data = mean_se,
geom = "errorbar",
width=0.2)+
ylab("Trockenmasse [g]")+
scale_fill_grey(name="",start =0.8, end =0.4)+
scale_x_discrete(labels = item_labels)+
scale_y_continuous( expand = c(0, 0))+
theme(axis.text.x = element_text(size=10,
angle=90,hjust=.5,vjust=.5,face="plain"))
Vielen Vielen Dank für die Hilfe
Viele Grüße
Standardfehler im gestapelten geom_bar
Standardfehler im gestapelten geom_bar
- Dateianhänge
-
- Hilfe R.png (7.03 KiB) 1995 mal betrachtet
Re: Standardfehler im gestapelten geom_bar
Ich würde die Kennewerte (Mittelwert, SE) außerhalb berechnen und dann erst plotten.
Bitte immer ein reproduzierbares Minimalbeispiel angeben. Meinungen gehören mir und geben nicht die meines Brötchengebers wieder.
Dieser Beitrag ist lizensiert unter einer CC BY 4.0 Lizenz
.
Dieser Beitrag ist lizensiert unter einer CC BY 4.0 Lizenz

Re: Standardfehler im gestapelten geom_bar
Auch würde ich die Balken nicht stacken - das verwirrt doch bzw. die y-Achse ist doch falsch?EDi hat geschrieben: Do Aug 27, 2020 9:43 pm Ich würde die Kennewerte (Mittelwert, SE) außerhalb berechnen und dann erst plotten.
Bitte immer ein reproduzierbares Minimalbeispiel angeben. Meinungen gehören mir und geben nicht die meines Brötchengebers wieder.
Dieser Beitrag ist lizensiert unter einer CC BY 4.0 Lizenz
.
Dieser Beitrag ist lizensiert unter einer CC BY 4.0 Lizenz
