Datenauswertung

Wie rufe ich R-Funktionen auf, wie selektiere ich Daten, ich weiß nicht genau ....

Moderatoren: EDi, jogo

19Angel96
Beiträge: 3
Registriert: Do Okt 03, 2019 5:42 pm

Datenauswertung

Beitrag von 19Angel96 »

Hallo Zusammen,

im Rahmen meiner Bachelorarbeit habe ich eine Umfrage zum Thema Betriebliche Anreizsysteme, Arbeitszufriedenheit und Mitarbeiterbindung durchgeführt. Hierzu habe ich sieben verschiedene Fragebögen kombiniert und zu einer Umfrage zusammengestellt. Nachdem die Umfrage abgeschlossen war, habe ich die Daten zur Auswertung über Excel heruntergeladen. Die Daten mussten laut der Dokumentation der jeweiligen Fragebögen summiert werden, damit am Ende ein für jeden Probanden ein Gesamtsummenwert für jede Skala vorliegt. Nachdem ich die Daten in R überführt habe, habe ich die Normalverteilung überprüft. Leider waren meine Daten nicht normalverteilt. Somit musste ich zur Überprüfung der Zusammenhangshypothesen die Korrelationsanalyse nach Spearman verwenden. Leider kommen hier sehr kleine Werte heraus, die sich teilweise widersprechen. Bei der Untersuchung der Korrelation von Arbeitszufriedenheit und den nicht-finanziellen Anreizen erhielt ich einen Wert von r = -0.069. Woran könnte das liegen? Man muss dazu sagen, dass ich die Skala zu den finanziellen und nicht-finanziellen Anreizen selbst operationalisiert habe.
Ich hoffe, dass ihr mir hierzu Tipps geben könntet, wie ich weiter verfahren soll und ob ich eventuell noch einen anderen Test ausprobieren soll.
Vielen Dank schon mal für Eure Hilfe.
Viele Grüße :)
Hufeisen
Beiträge: 162
Registriert: Fr Aug 31, 2018 6:34 pm

Re: Datenauswertung

Beitrag von Hufeisen »

Deine Frage hat jetzt nichts mir R zu tun, oder? Welche Werte sich warum widersprechen ist mir durch deine Schilderung auch nicht klar. Ohne weitere Kenntnis deiner Fragebogenkonstruktion, Skalenbildung und Auswertung in R lässt sich so schwer eine sinnvolle Hilfestellung geben. Das ist bei einer Bachelorarbeit auch nur sehr begrenzt möglich. Aber ein rho nahe Null heißt, dass kein Zusammenhang besteht.
Athomas
Beiträge: 776
Registriert: Mo Feb 26, 2018 8:19 pm

Re: Datenauswertung

Beitrag von Athomas »

Hufeisen hat geschrieben: Do Okt 03, 2019 6:00 pm Aber ein rho nahe Null heißt, dass kein Zusammenhang besteht.
Nein!

Code: Alles auswählen

x <- 1:19
y <- (x-10)^2
cor(x, y, method="spearman") 
cor(x, y, method="pearson")
consuli
Beiträge: 479
Registriert: Mo Okt 10, 2016 8:18 pm

Re: Datenauswertung

Beitrag von consuli »

Wenn wir schon so genau sind.

Heißt rho = 0 denn dann, dass kein linearer Zusammenhang besteht?
Irmgard.
Hufeisen
Beiträge: 162
Registriert: Fr Aug 31, 2018 6:34 pm

Re: Datenauswertung

Beitrag von Hufeisen »

Athomas hat geschrieben: Do Okt 03, 2019 7:16 pmNein!
Ja danke für die Ergänzung. Ich hatte es mir schon beim Schreiben überlegt, wollte aber keine so lange Antwort daraus machen.
bigben
Beiträge: 2903
Registriert: Mi Okt 12, 2016 9:09 am

Re: Datenauswertung

Beitrag von bigben »

Hallo!
19Angel96 hat geschrieben: Do Okt 03, 2019 5:53 pm habe ich die Daten zur Auswertung über Excel heruntergeladen. Die Daten mussten laut der Dokumentation der jeweiligen Fragebögen summiert werden, damit am Ende ein für jeden Probanden ein Gesamtsummenwert für jede Skala vorliegt. Nachdem ich die Daten in R überführt habe,
Ich hoffe, Du hast die Summen nicht in Excel gebildet, wenn doch, lass das und berechne die Summen in R. Die SUMME-Funktion in Excel hat merkwürdige Vorstellungen davon, wie man mit missing data umgeht. Und bei Fragebogenuntersuchungen sind missing data mit steigender Fallzahl zunehmend unvermeidbar.
habe ich die Normalverteilung überprüft. Leider waren meine Daten nicht normalverteilt. Somit musste ich zur Überprüfung der Zusammenhangshypothesen die Korrelationsanalyse nach Spearman verwenden.


Den Satz würde ich nicht ungeprüft stehen lassen. Das ist aber vielleicht nicht das vordringlichste.
Leider kommen hier sehr kleine Werte heraus, die sich teilweise widersprechen.


Wie Hufeisen schon geschrieben hat, musst Du uns schon erklären, welche Widersprüche das scheinbar vorliegen, wenn wir was dazu sagen sollen.
Bei der Untersuchung der Korrelation von Arbeitszufriedenheit und den nicht-finanziellen Anreizen
Arbeitszufriedenheit hängt von tausend Dingen ab. Bist Du sicher, dass Du das bivariat mit einer Korrelation untersuchen willst und nicht in einem umfangreichen linearen Modell andere Einflüsse berücksichtigen willst?
erhielt ich einen Wert von r = -0.069. Woran könnte das liegen?
Wie Du schon geschrieben hast, an schlecht untersuchten Erhebungsinstrumenten. Wie Athomas schon beschrieben hat, an nicht-monotonen Zusammenhängen. Dann hast Du nichts über Deine Fallzahl geschrieben, was immer ein Kardinalfehler beim Beschreiben von Studien ist. Wenn Du die Korrelation mit der Funktion cor.test gemacht hast, dann wurde da nicht nur ein ρ sondern auch ein Konfidenzintervall dafür ausgegeben. Ist es so weit, dass auch Dein erwarteter Effekt drin stecken würde, oder ist es so eng, dass größere ρ ausgeschlossen sind? Vielleicht hast Du auch einen Decken- oder Bodeneffekt drin? Vielleicht sind alle Mitarbeiter so unzufrieden, dass darin keine Varianz mehr zum erklären steckt? Zuletzt könnte es sein, dass es tatsächlich keinen großen Zusammenhang gibt.
Ich hoffe, dass ihr mir hierzu Tipps geben könntet, wie ich weiter verfahren soll


Ganz klar: Vor jede weitere Rechnung, vor jeden weiteren Test gehört erstmal eine anständige Punktwolke gezeichnet und die Daten angeguckt. Dabei kann man U-förmige Zusammenhänge erkennen, kann Decken- und Bodeneffekte erkennen und so weiter. Diesen Plot darfst Du gerne auch hier hochladen, damit ein paar Augenpaare mehr darauf gucken können.

LG,
Bernhard
---
Programmiere stets so, dass die Maxime Deines Programmierstils Grundlage allgemeiner Gesetzgebung sein könnte
bigben
Beiträge: 2903
Registriert: Mi Okt 12, 2016 9:09 am

Re: Datenauswertung

Beitrag von bigben »

consuli hat geschrieben: Do Okt 03, 2019 7:51 pmHeißt rho = 0 denn dann, dass kein linearer Zusammenhang besteht?
Angel schreibt, dass sie Spearmans ρ vewendet hat, also geht es nicht um Linearität. Es dürfte also eher um das Erkennen monotoner oder überwiegend monotoner Zusammenhänge gehen. Aber auch Pearsons ρ wird ja nicht Null, wenn ein nur monotoner Zusammenhang besteht, auch wenn der nicht-linear ist.

LG,
Bernhard
---
Programmiere stets so, dass die Maxime Deines Programmierstils Grundlage allgemeiner Gesetzgebung sein könnte
consuli
Beiträge: 479
Registriert: Mo Okt 10, 2016 8:18 pm

Re: Datenauswertung

Beitrag von consuli »

Richtig, Angel hat Spearman's Rangkorrelations verwendet. Insofern hat er schon gar nicht auf linearen Zusammenhänge zwischen seinen Variablen getestet, so wie sie originär vorliegen.

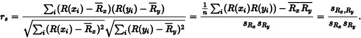
Dennoch ist Spearman's Rangkorrelationskoeffizient gleichzeitig auch ein verkappter Pearson-Korrelationskoeffizient auf Basis der Ränge:
https://de.wikipedia.org/wiki/Rangkorrelationskoeffizient#Spearman'scher_Rangkorrelationskoeffizient hat geschrieben: Im Prinzip ist r s {\displaystyle r_{s}} r_{s} ein Spezialfall des Pearson’schen Produkt-Moment-Korrelationskoeffizienten, bei dem die Daten in Ränge konvertiert werden, bevor der Korrelationskoeffizient berechnet wird:
Spearman_Rho_Formel.jpg
Spearman_Rho_Formel.jpg (11.35 KiB) 5268 mal betrachtet
So wie ich das verstehe, nimmt Spearman's Rho einfach die Ränge als pseudometrische Intervallskala mit konstant gleichen Abständen ab und rechnet dann Pearsons rho.

Insofern bezog sich meine Linearität bei Spearman rho auf die künstlich pseudometrischen Abstände der Ränge sowie bei Pearson rho auf linearen Zusammenhang zwischen den Variablen. (Athomas hat als Gegenbeispiel ja metrische Beispieldaten gegeben.)

Zurück zu meiner Frage:
Heißt rho = 0 denn dann, dass kein linearer Zusammenhang besteht? (bei Spearman rho zwischen den Rängen)
Irmgard.
Hufeisen
Beiträge: 162
Registriert: Fr Aug 31, 2018 6:34 pm

Re: Datenauswertung

Beitrag von Hufeisen »

Ich bin hier zwar vermutlich statistisch am Ungebildetsten, aber die Antwort sollte ja lauten. Der lineare Zusammenhang ist doch ein Spezialfall / eine Teilmenge der monotonen Zusammenhänge. Es kann keinen linearen Zusammenhang geben, wenn kein monotoner Zusammenhang besteht. Ja, Nein, Vielleicht?!
bigben
Beiträge: 2903
Registriert: Mi Okt 12, 2016 9:09 am

Re: Datenauswertung

Beitrag von bigben »

Mit Ausnahme des ersten Satzes sehe ich das wie Hufeisen.
---
Programmiere stets so, dass die Maxime Deines Programmierstils Grundlage allgemeiner Gesetzgebung sein könnte
Antworten